
In a court case ruling between a former employee of Absa bank Kenya. The bank was found guilty of illegally spying on an employee and wrongfully terminating his contract. The Employment and Labor Court found the bank activities on the employee harsh and uncalled for.
Compensation
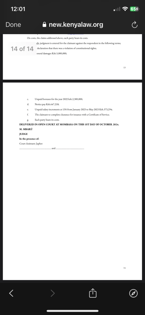
· General damages: Kes 5,000,000
· Unpaid bonus for 2022: Kes 2,300,000
· Notice pay: Kes 647,218
· Unpaid salary increments at 13% from January 2023 to May 2023 Kes 373,294














This unlawful act shows the dark secret of the bank and it’s being reported now as several employees are reaching out to us of several cases of their private life affairs are always topic of discussion when being summoned by the HR and coerced to write apologies which are filed to justify their firing when time comes, so as to employe their cronies and relatives.
The harsh working environment at Absa has been marinated with this practice, to the extent that an employee sex tape leaked as the fuckboy was one of the private investigator who was hired to fire a top ranking official in the bank branch. Some cases of sexual favors to get promotions have also marinated the bank, selling of clients data in their Timiza loan app and etc.
Sexual favors.
There are more women than men in the Marketing department, you may think that it is by default, No.
This department is headed by one Mr Charles Wokabi, you can check him up on LinkedIn the guy will show up in an interview and only pick the most attractive woman to his eyes even if she doesn’t qualify for the job.
Currently Mr Charles has upto 5 women both married and single whom he manipulates for sexual favours at will. To make it worse, if you refuse, he will threaten you with poor performance and ratings so that you get a warning letter or don’t get much bonus during end of year performance.
Many times and even security knows, has he been caught in the office parking lot engaging in uspeakable acts with his juniors in his car way past midnight. The guy is also known to publicly shame and shout to female juniors who disagree with him when they turn down his sexual favours. The guy seems powerful enough to call the shots.
Customer Manipulation
Absa bank sales employees at the branch collude with their managers to get commisions at the branch. They do this because they are paid on commission which is 10%.
So this is how it works…
A high value customer will walk into a branch wanting to get a facility, if he does not qualify a beautiful lady will be sent to him and he is told he can get an even higher loan if he agrees to part with an upfront of say Ksh. 200,000 for the loan to be approved and sure enough they get the loan plus their end month commission.
This is a behaviour that is currently going on in Absa bank Queensway along Mama Ngina Street where one Bonface leads the mission and at Ngong branch where Victor Ojowi the branch manager has been known to openly ask for huge sums from prospective customers and finally Nyali branch where this is common knowledge.
There are even police OB records at Nyali police station where people have been conned and shortchanged by these branch employees and never got the loans.
Data Leakages.
Absa has a data centre somewhere in Westlands in its main office called the Data Office. Data engineers there steal customer records and sell them to the Kenyan black market. Have you ever wondered how you get loan SMS marketings with apps and companies you didn’t sign up with? This is how. So apparently the engineers here collect customer data and sell them for as high as 1000 shillings per customer record.
Details can include anything from credit card details to mobile banking details and even product and services. If anything to do with the recent Equity bank heist is to go buy, then you have some wind. The funny thing is these engineers are so brilliant that not even the Bank firewalls and intrusion detection systems IDC can sniff them.
Those young guys are driving Audis, Volkswagens and Benzes with mere salaries of net averages of Ksh. 150,000.
The data leak extends further to the branch levels where sales employees collude with the branch managers and these data guys to manipulate sales numbers to higher values per KPI and then share the profits every end month. This is possible because the final data that comes from the branch is only handled by the data office and is final. The grossly affected branches here include Queensway, Lavington, Nyali, TRM, Nkrumah and Ngong. Timiza Loans Fraud This one is a huge fraud. They have a loan app called Timiza. This small product has the highest number of employee turnover, they keep on hiring but employees can’t even last 1 year. This is why; Elkana Momanyi and Steve Omamo who happen to lead the Timiza loan app are always in constant battle on who should lead the product, Steve leads the growth side while Elkana leads the credit side but a little is known about Elkana and why his juniors keep leaving his department. You see, the guy has a huge appetite and greed for money that he has on several occasions been found questionable by Steve on some of his credit decisions.
So, whenever Elkana hires a new junior employee, he will train him/her to only report to him and only speak to him first whenever asked anything by one one. This is to stop the employee from fumbling and spilling his beans. He is is known for colluding with his juinors at the data center office mentioned above and through them they identify and recruit people known to them and give them huge Timiza loans as high as Ksh. 600,000 which they don’t repay and in the long run default and the cycle repeats.
Donna from the data office is his close accomplice in recruiting these new conduits. When they launched the product in 2018, they did this and lost Ksh 180, 000, 000.
In 2022 July, Ksh 20, 000, 000 was lost and when questions were raised by audit, he threw one of his juniors under the bus and even forced her to resign and quit or be held responsible.
The lady had to quit. There have been other junior employees who have come after and have been thrown under the bus whenever this happens. In 2023, one of his juniors was forced to resign after another heist of Ksh. Ksh 1,800,000 was forced on him. The Timiza product is not exhaustively audited since very few auditors undertand how it works.
There are a also lot of gatekeepers and only Elkana and Steve decides who to share what information with. The guy is so powerful that not even directors can point a finger to him.
Investigations Team.
When a suspected fraud happens inside the Bank, Charles Maina and Frederick Ogonda from the Forensics are always quick to ask for bribes from the suspects so that the investigations sees no light, Mr Charles is currently under the radar of the DCI in the recent case involving the Equity bank heist of Ksh. 179,000,000 where he is one of the suspected accomplices.
Finance.
Mr. Kemboi has been known to collude with supply chain to award and pay only companies that are either registered to him or known by him so as to get kickbacks. Cases here involve where the company dropped Bolt for company transport and awarded the tender to Yego, after Kemboi got a kickback of 500K from the Yego team. Last year, the cleaning services firm was changed after Kemboi and one of the directors awarded their cleaning services the tender.
Loans.
There is a product called a loan on phone, where you are called and told you have a given credit card loan of very high amount and because you need money, you are asked of you want it , if you say yes, without understanding the terms on a 1 min call, the loan is immediately dispnsed to you.
Many customers are defaulting on this product leaving them in debt and a negative payslip. It’s a bogus marketing technique Absa Bank Kenya has.
Most of the Bank employees are also in debt, the bank gives them many loans at very affordable prices with no security, because of the payslip. Most are broke by day 5th and cannot survive.
This is a strategy by the Bank to keep them working for the bank, if they quit without a job, their property will be auctioned.
Collections.
Collection agents collude with loan defaulters and agree to offer them a lesser repayment if they agree to repay their loans, but midway ask for an upfront fee. Some don’t even get to have their full loan cleared anyway. Joyce Nyamao will identify customers who are struggling to repay their mortgage loans and propose an additional loan to the already struggling customer so that they default, then get one her customers or a bank staff to buy the house at an agreed price and reap the benefits.
This is how you lose your house to bank thieves. Funny thing is that Absa Bank HQ in South Africa rarely knows what’s going on here since they are managed properly.